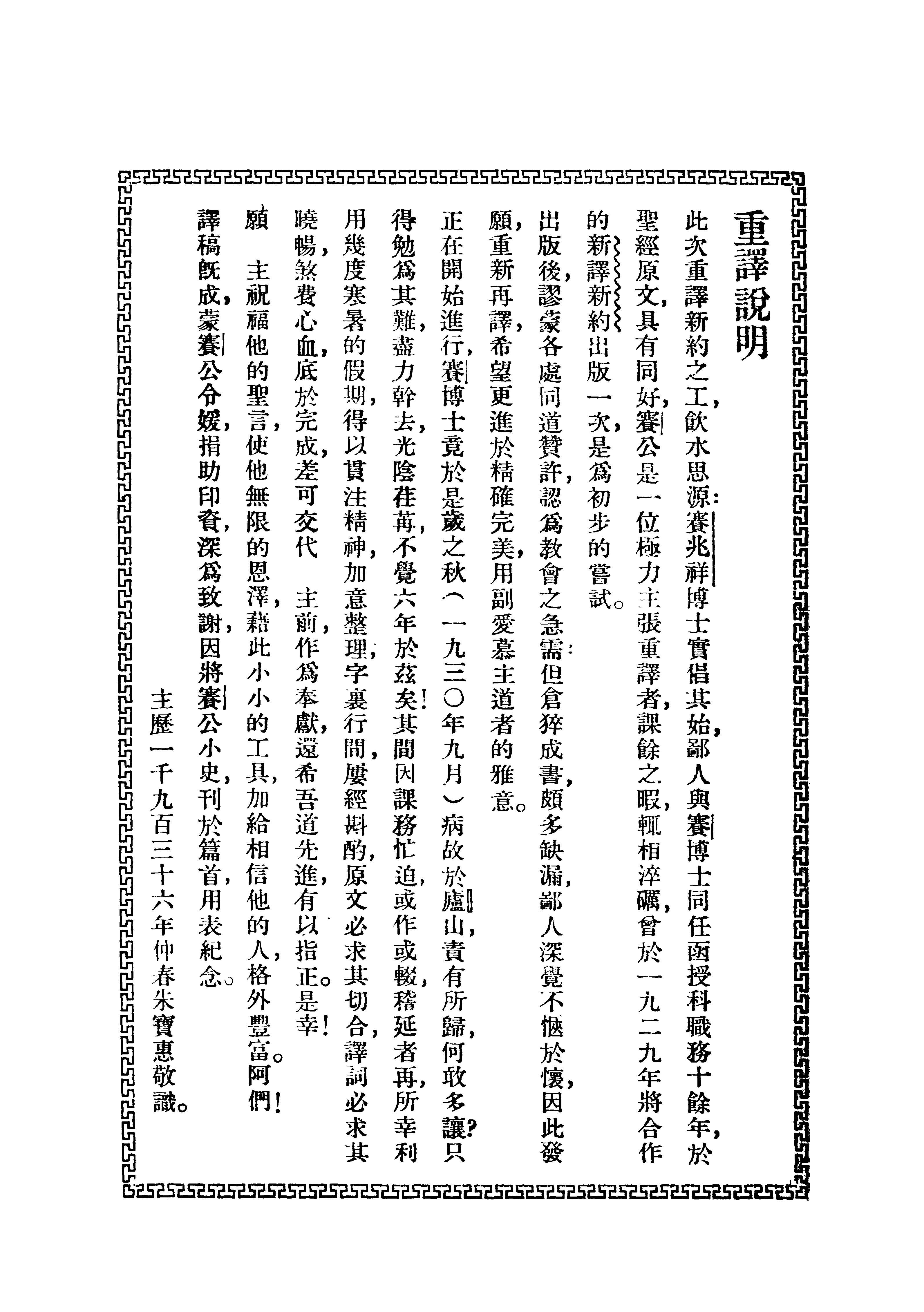
珍本圣经数位典藏

1936年重译新约全书 封面 0 章 0 节到 0 章 5 节

(按图可以看高解析度照片) 封面 上一页 下一页 回珍本圣经数位典藏计划首页

回珍本圣经数位典藏计划首页