珍本圣经数位典藏

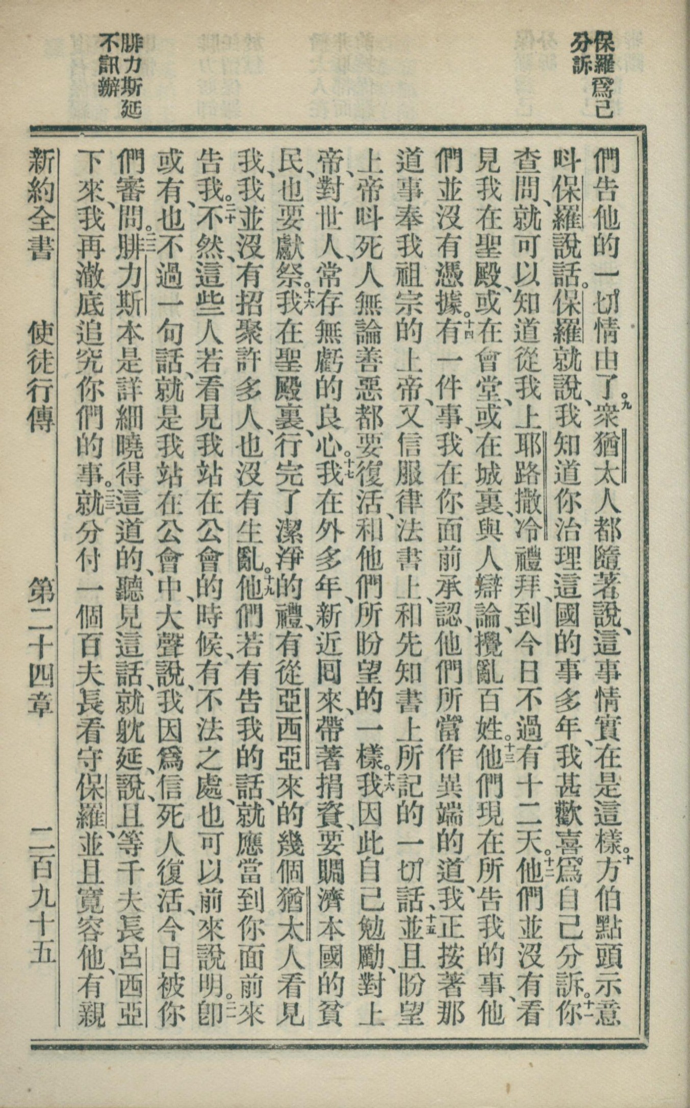
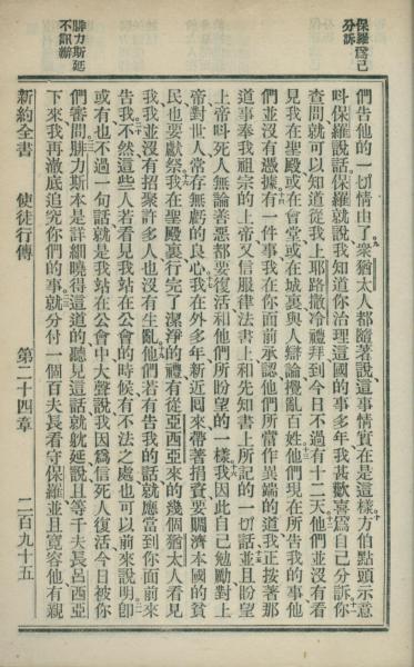
1902年新约全书 使徒行传 24 章 9 节到 24 章 23 节

(按图可以看高解析度照片) 封面 上一页 下一页 回珍本圣经数位典藏计划首页

回珍本圣经数位典藏计划首页