珍本圣经数位典藏

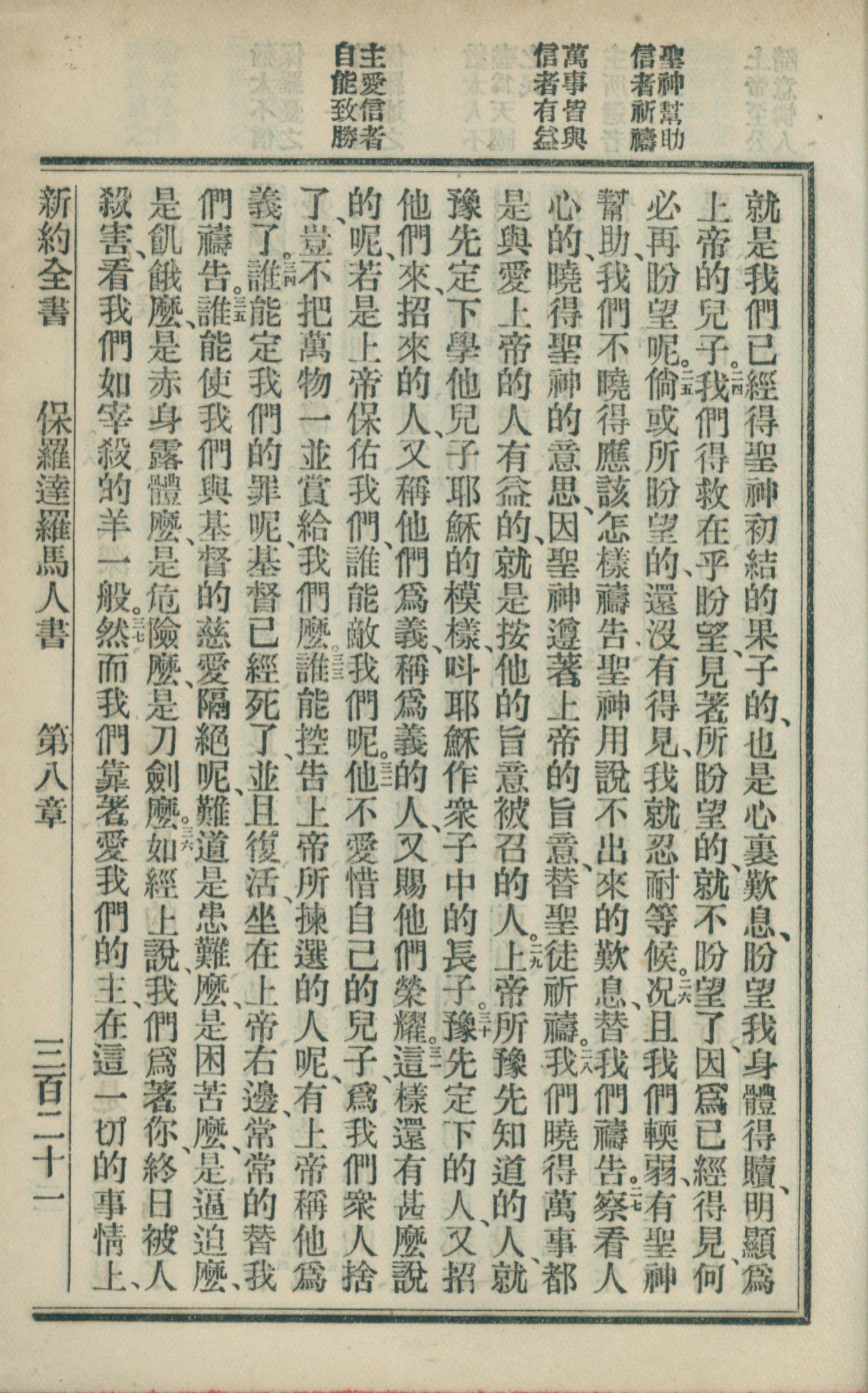
1902年新约全书 罗马书 8 章 23 节到 8 章 37 节

(按图可以看高解析度照片) 封面 上一页 下一页 回珍本圣经数位典藏计划首页

回珍本圣经数位典藏计划首页