珍本聖經數位典藏

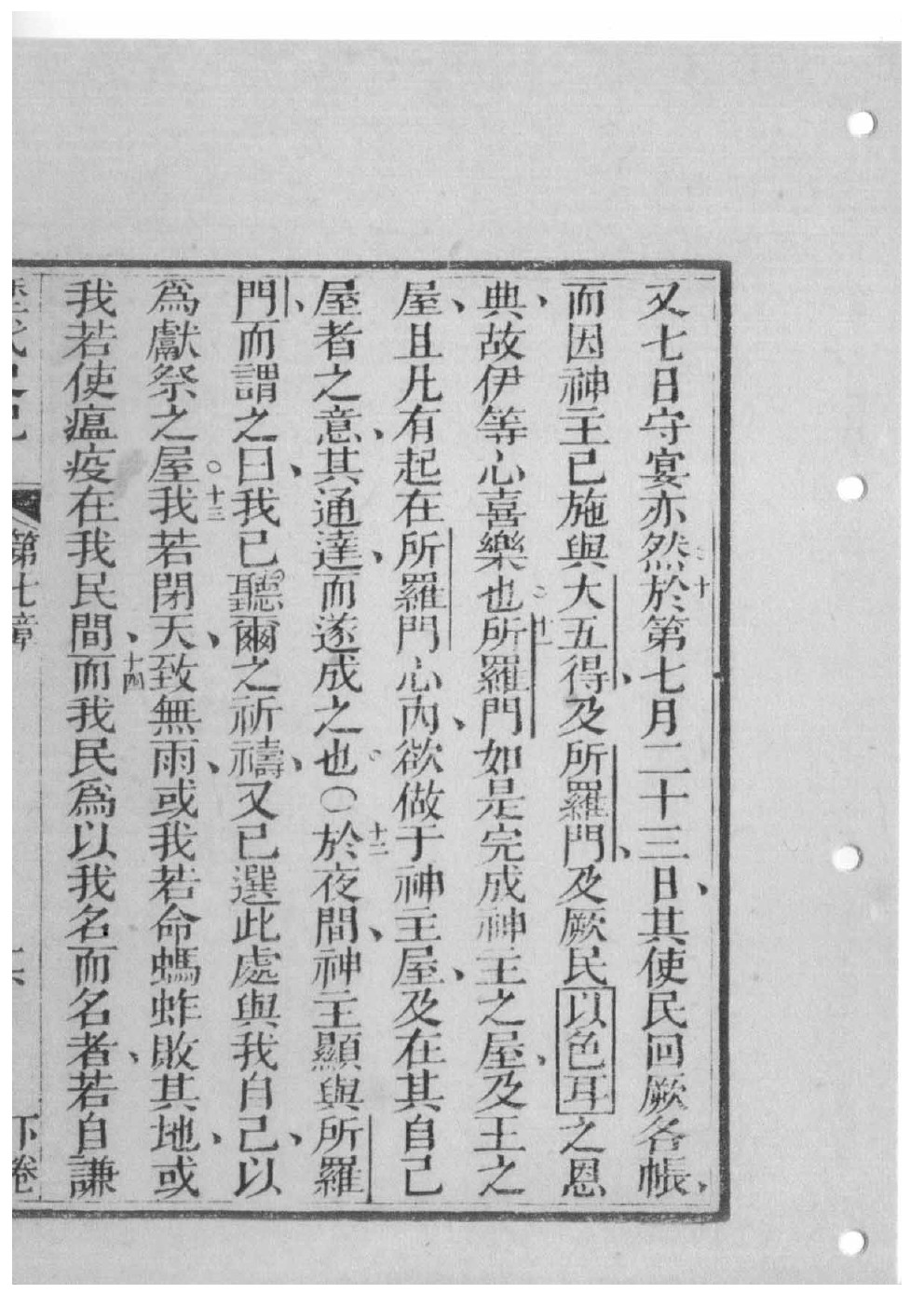
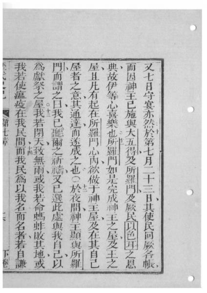
1823年神天聖書 歷代志下 7 章 10 節到 7 章 14 節

(按圖可以看高解析度照片) 封面 上一頁 下一頁 回珍本聖經數位典藏計劃首頁

回珍本聖經數位典藏計劃首頁