珍本聖經數位典藏

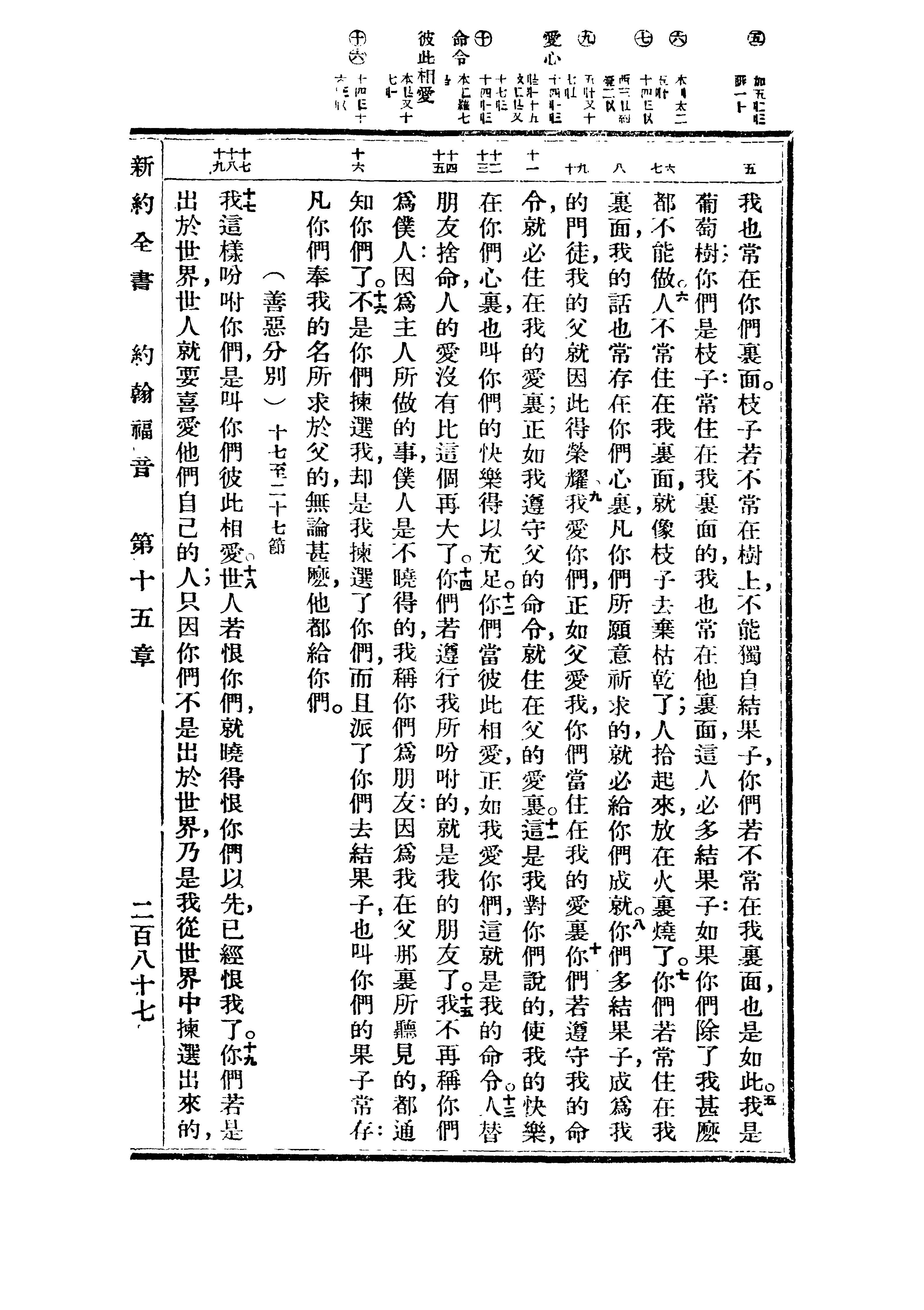
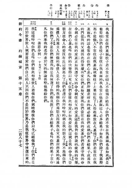
1936年重譯新約全書 約翰福音 15 章 5 節到 15 章 19 節

(按圖可以看高解析度照片) 封面 上一頁 下一頁 回珍本聖經數位典藏計劃首頁

回珍本聖經數位典藏計劃首頁