珍本聖經數位典藏

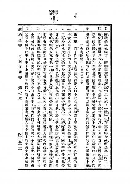
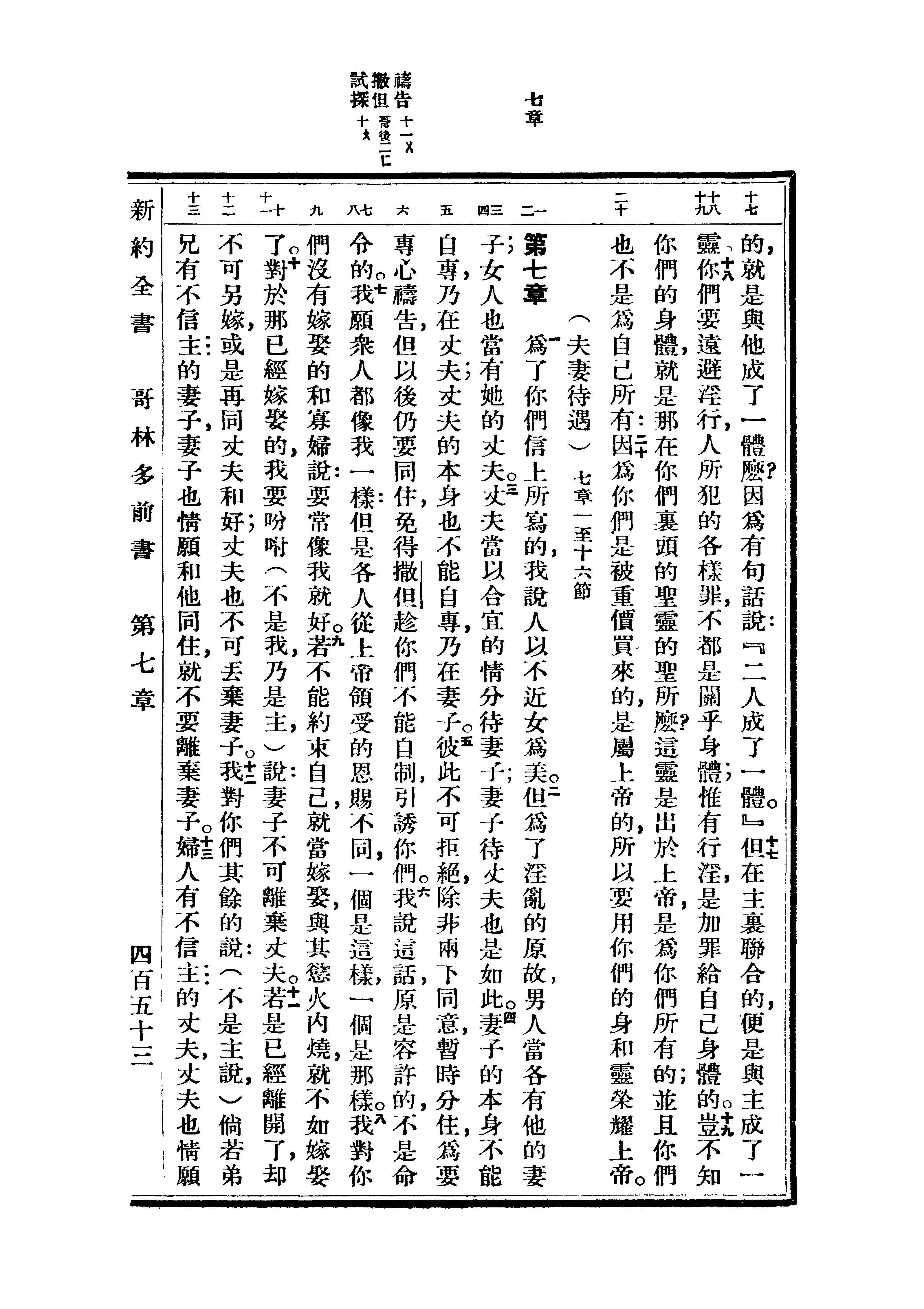
1936年重譯新約全書 哥林多前書 6 章 17 節到 7 章 13 節

(按圖可以看高解析度照片) 封面 上一頁 下一頁 回珍本聖經數位典藏計劃首頁

回珍本聖經數位典藏計劃首頁