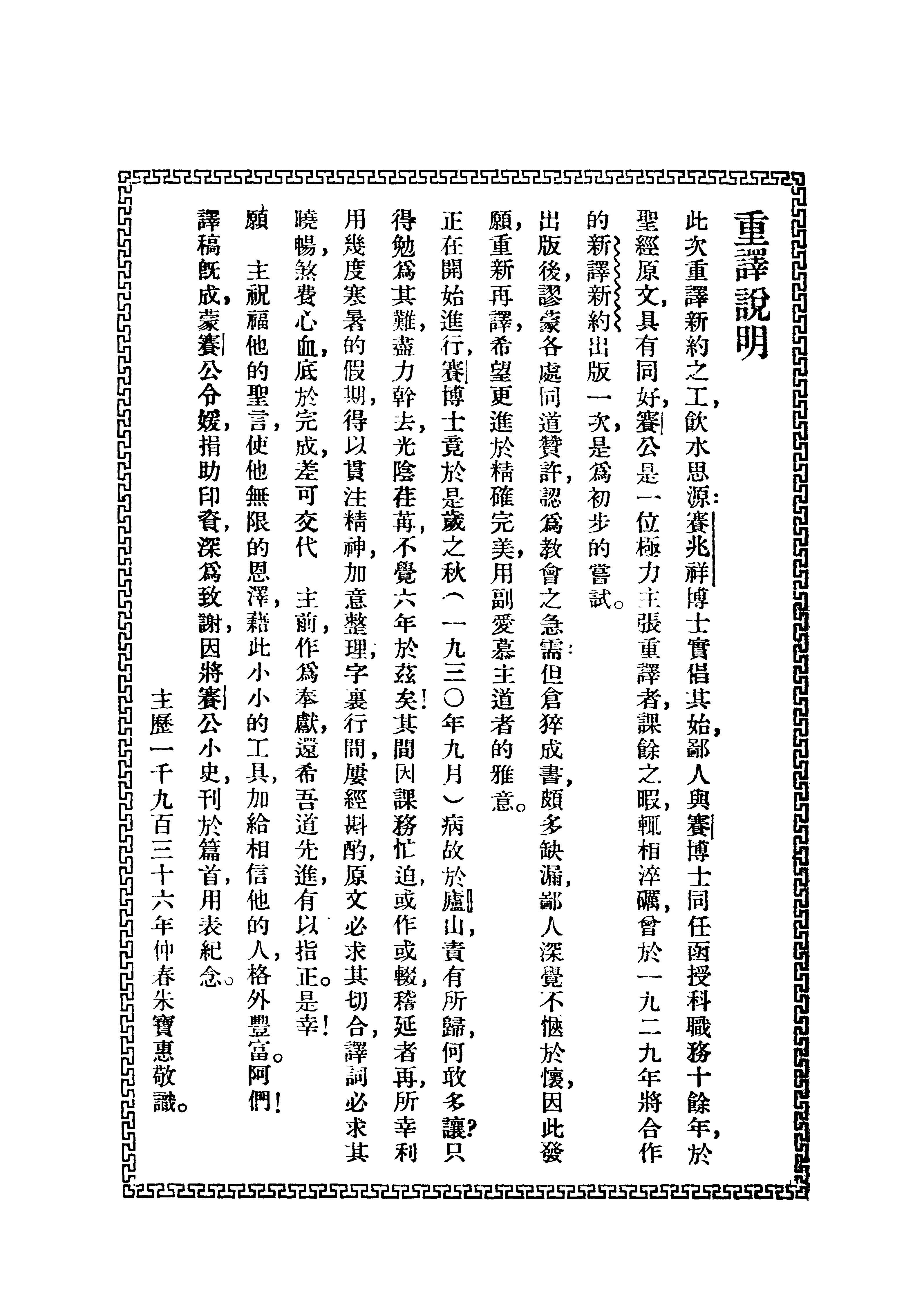
珍本聖經數位典藏

1936年重譯新約全書 封面 0 章 0 節到 0 章 5 節

(按圖可以看高解析度照片) 封面 上一頁 下一頁 回珍本聖經數位典藏計劃首頁

回珍本聖經數位典藏計劃首頁