珍本聖經數位典藏

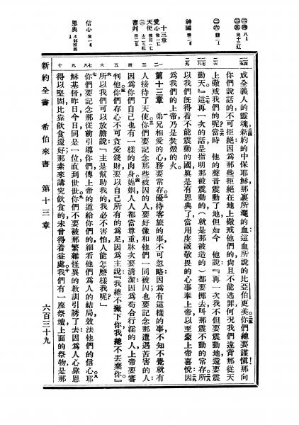
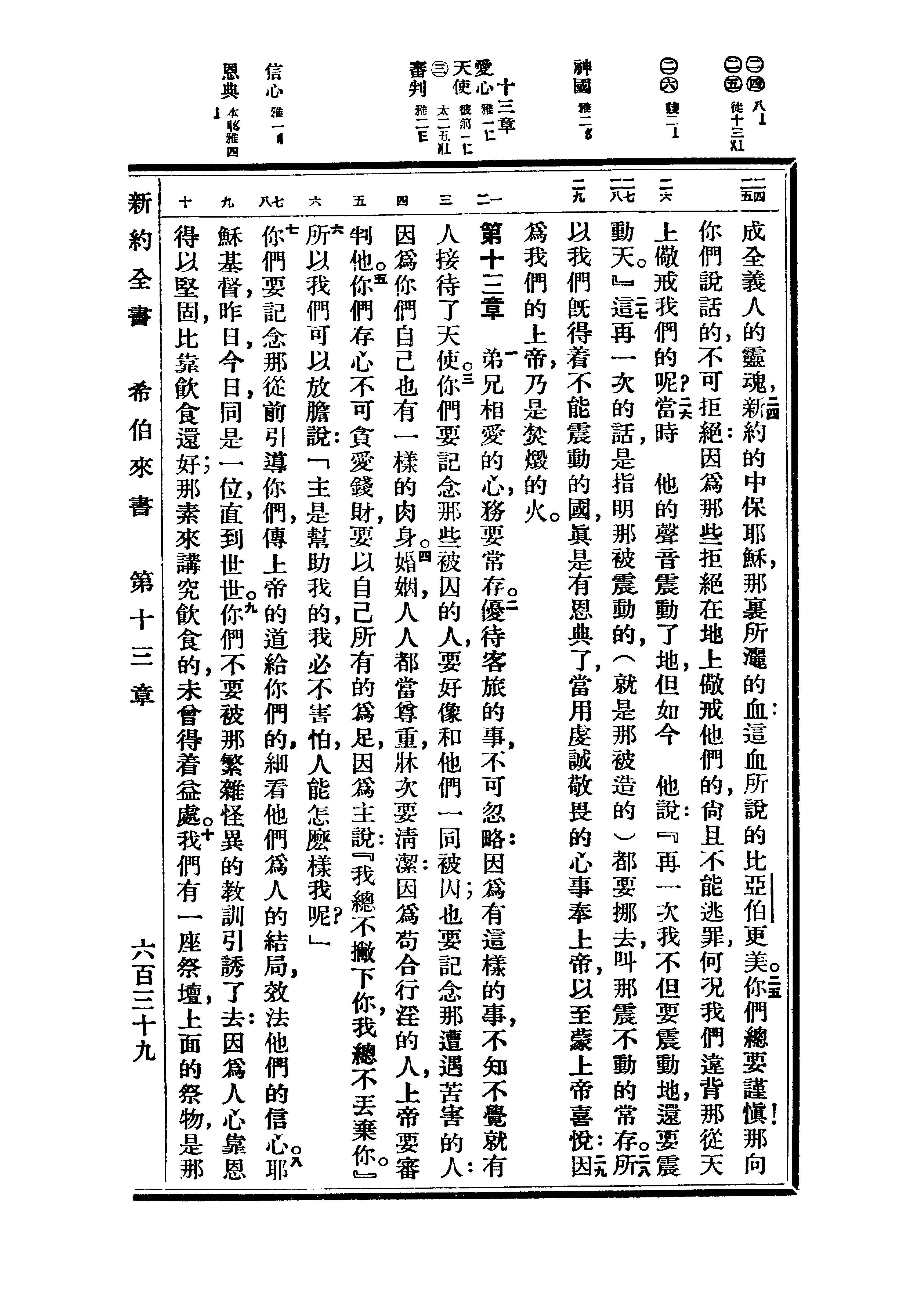
1936年重譯新約全書 希伯來書 12 章 24 節到 13 章 10 節

(按圖可以看高解析度照片) 封面 上一頁 下一頁 回珍本聖經數位典藏計劃首頁

回珍本聖經數位典藏計劃首頁