珍本聖經數位典藏

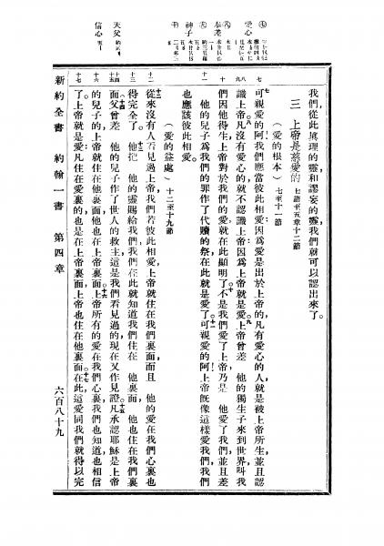
1936年重譯新約全書 約翰一書 4 章 7 節到 4 章 16 節

(按圖可以看高解析度照片) 封面 上一頁 下一頁 回珍本聖經數位典藏計劃首頁

回珍本聖經數位典藏計劃首頁