珍本聖經數位典藏

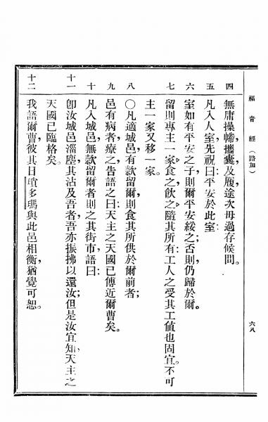
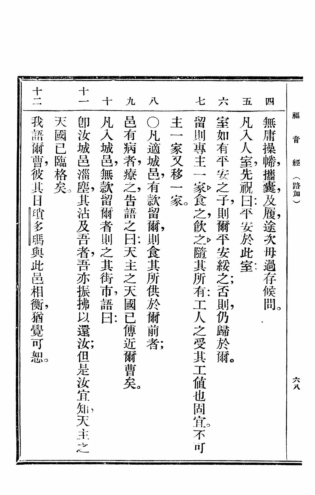
1949年救世福音 路加福音 10 章 4 節到 10 章 12 節

(按圖可以看高解析度照片) 封面 上一頁 下一頁 回珍本聖經數位典藏計劃首頁

回珍本聖經數位典藏計劃首頁