珍本聖經數位典藏

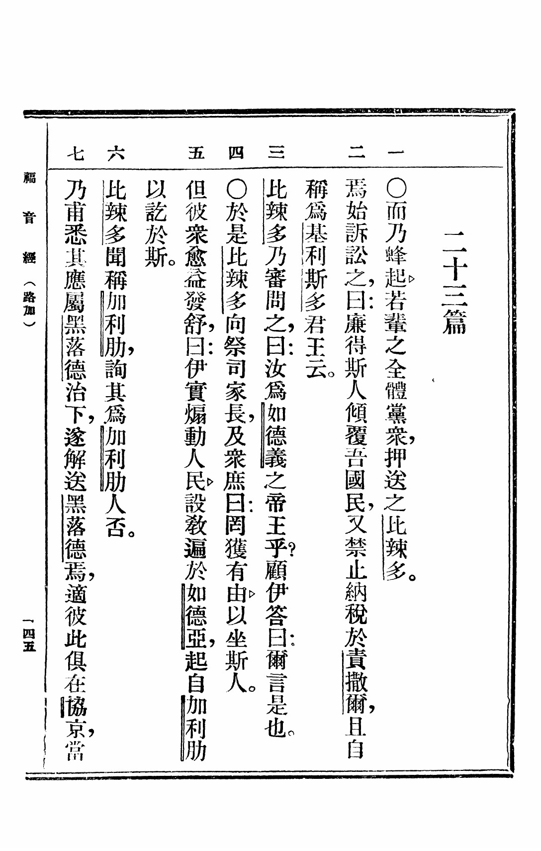
1949年救世福音 路加福音 23 章 1 節到 23 章 7 節

(按圖可以看高解析度照片) 封面 上一頁 下一頁 回珍本聖經數位典藏計劃首頁

回珍本聖經數位典藏計劃首頁