珍本聖經數位典藏

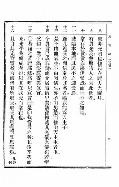
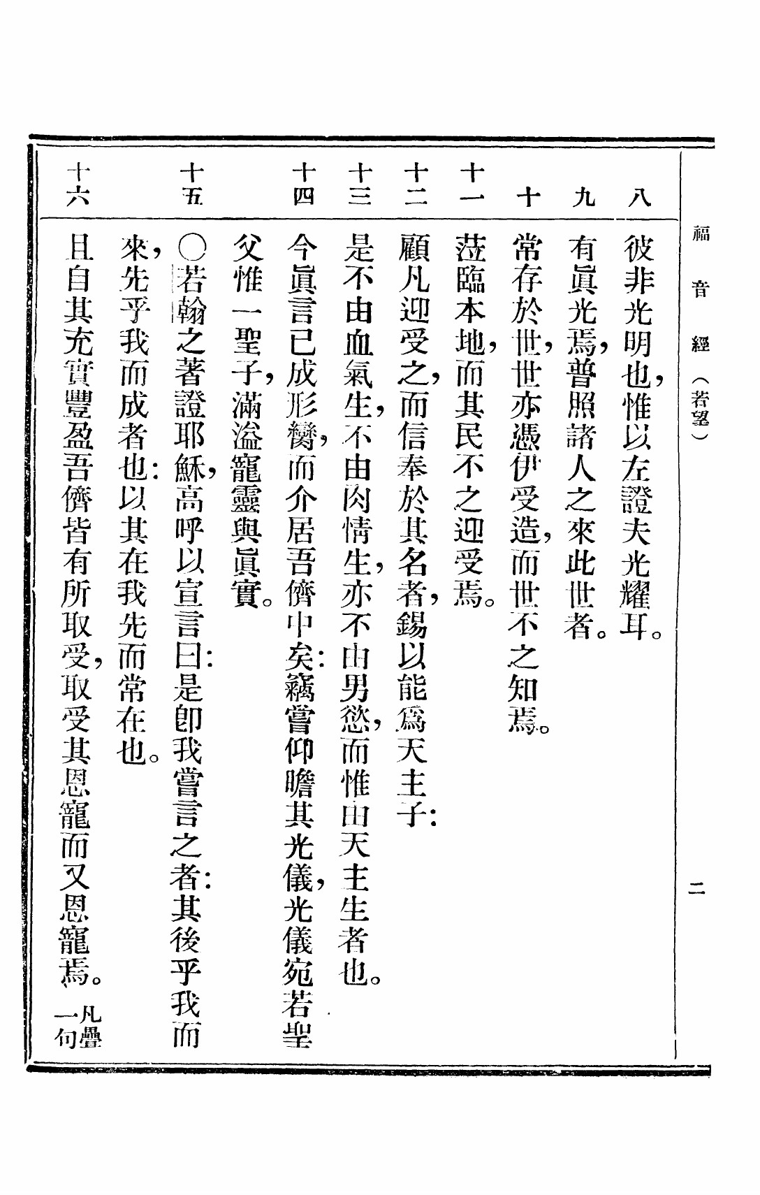
1949年救世福音 約翰福音 1 章 8 節到 1 章 16 節

(按圖可以看高解析度照片) 封面 上一頁 下一頁 回珍本聖經數位典藏計劃首頁

回珍本聖經數位典藏計劃首頁