珍本聖經數位典藏

1949年救世福音 約翰福音 8 章 32 節到 8 章 39 節

(按圖可以看高解析度照片) 封面 上一頁 下一頁 回珍本聖經數位典藏計劃首頁

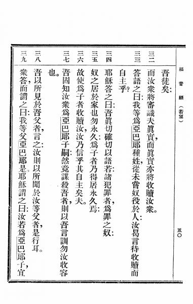
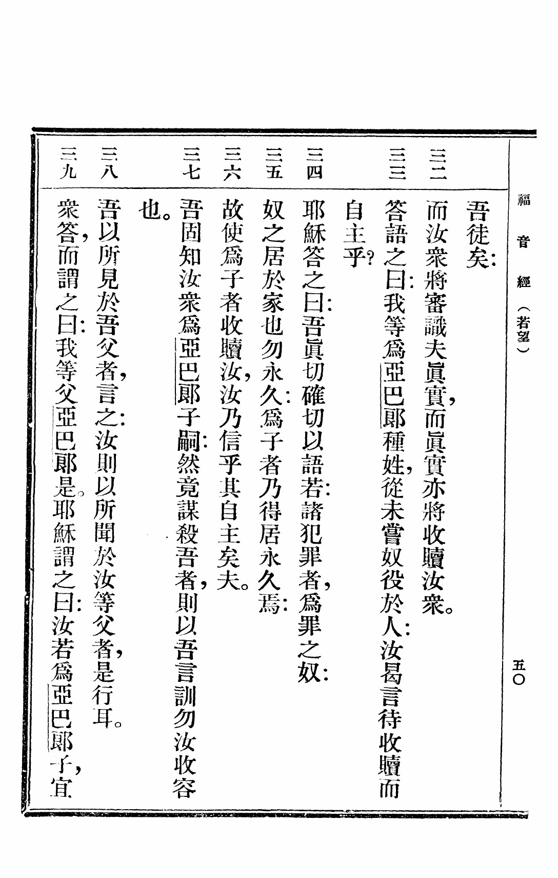
回珍本聖經數位典藏計劃首頁